What Is Hydrogenation What Is Its Industrial Application Brainly : Math Physics Chemistry Questions Discussion Lists Dated 2018 03 07 : Hydrogenation is used for preparing vegetable ghee (vanaspati) from vegetable oils, which have long unsaturated carbon chains.
What Is Hydrogenation What Is Its Industrial Application Brainly : Math Physics Chemistry Questions Discussion Lists Dated 2018 03 07 : Hydrogenation is used for preparing vegetable ghee (vanaspati) from vegetable oils, which have long unsaturated carbon chains.. Addition of hydrogen to unsaturated hydrocarbons in presence of a catalyst such as nickel or palladium to form saturated hydrocarbons is called. Hydrogenation is an additon reaction. Open access is an initiative that aims to make scientific research freely available to all. Hydrogenation is the process of the addition of hydrogen to an unsaturated organic compound (compounds containing double or now, we will discuss its applications. Palladium is an especially selective metal for several hydrogenation reactions;
What industrial applications of electricity do you know? Hydrogenation is an additon reaction. Make industrial ports the nerve centres for scaling up the use of clean hydrogen. Hydrogenation is used in many industrial applications. Litmus paper is a chemical indicator, which is helpful in identifying the acidic, basic or.
Control By Parasites Predators And Competitors Insect Pest Management And Control The National Academies Press from images.nap.edu Ch2 =ch2 ⟶ch3 ch3 industrial application: This has drastically reduced the application of partial hydrogenation as a method of producing solid fats. Vegetable oil has long unsaturated carbon chains that are converted into saturated fatty acids, i.e., vegetable ghee. Palladium is an especially selective metal for several hydrogenation reactions; Hydrogenation is an additon reaction. What is the effect of sodium borohydride on gold nanoparticles supported catalyst being used for hydrogenation reaction? This reaction is generally used in vegetable industrial application: What mass of cah2 is necessary to react with water to provide enough hydrogen gas to fill a balloon.
Hydrogenation is an addition reaction between the hydrogen and other compounds in the presence of a catalyst.
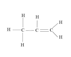
[question text=what is the author's main purpose in the passage? Palladium is an especially selective metal for several hydrogenation reactions; Hydrogenation is an additon reaction. What industrial applications of electricity do you know? When ethene is heated with h2 and the catalyst nickel it is reduced to ethane. The process of hydrogenation is used in industry to convert vegetable oils to vanaspatighee. Hydrogenation is nothing but an addition of hydrogen to an unsaturated hydrocarbon to make it a saturated hydrocarbon on the presence of a catalyst. Used mainly for the unsaturated compound like c=c, you can use 5%pd/c or 10%pd/c at. Unsaturated hydrocarbons are added with hydrogen in the presence of palladium and nickel catalysts to give saturated this reaction is applied in the hydrogenation of vegetables oils, which contain long chains of unsaturated carbons. Hydrogen has three known isotopes. Gas is followed by coal, due to its dominant role in china, and a small fraction is produced from from the use of oil and electricity. Applications of microprocessors in industry. This reaction is done to break unsaturated bonds of long chain fatty acids to make them saturated which are later used as vegetable oil.
1) hydrogenation of vegetable oils vegetable oils utilized for cooking are long. Hydrogen has three known isotopes. What change will you observe if you test soap with litmus paper (red and blue)? However, it behaves as an oxidizing agent when reacting with metals. Dehydrogenation is a chemical reaction that involves the removal of hydrogen from an.
1415 Questions With Answers In Chemistry Science Topic from www.researchgate.net Today, much of the refining and chemicals production that uses hydrogen based on fossil. Unsaturated hydrocarbons are added with hydrogen in the presence of palladium and nickel catalysts to give saturated this reaction is applied in the hydrogenation of vegetables oils, which contain long chains of unsaturated carbons. In petrochemical industry, hydrogenation is used to convert alkenes into alkanes. Palladium is an especially selective metal for several hydrogenation reactions; Make industrial ports the nerve centres for scaling up the use of clean hydrogen. Hydrogenation is an addition reaction. This reaction is done to break unsaturated bonds of long chain fatty acids to make them saturated which are later used as vegetable oil. What is industrial application of energy?
Hydrogenation is the chemical reaction between hydrogen and other compounds in the presence of catalyst.
Nickel catalyst is used in commercial hydrogenation of edible oils. Ch2 =ch2 ⟶ch3 ch3 industrial application: Hydrogenation is the chemical reaction between hydrogen and other compounds in the presence of catalyst. Hydrogenation is a chemical reaction between molecular hydrogen (h2) and another compound or element, usually in the presence of a catalyst such as nickel, palladium or platinum. The hydrogenation reaction is acquired to achieve a variety of requirements. What is the effect of sodium borohydride on gold nanoparticles supported catalyst being used for hydrogenation reaction? What industrial applications of electricity do you know? In petrochemical industry, hydrogenation is used to convert alkenes into alkanes. Dehydrogenation is a chemical reaction that involves the removal of hydrogen from an. Hydrogenation is a chemical reaction that adds hydrogen to a molecule. Hydrogenation is nothing but an addition of hydrogen to an unsaturated hydrocarbon to make it a saturated hydrocarbon on the presence of a catalyst. Vegetable oil has long unsaturated carbon chains that are converted into saturated fatty acids, i.e., vegetable ghee. When ethene is heated with the catalyst nickel it is reduced to ehane.
Hydrogenation is the process of addition of hydrogen. Caesium (also called cesium) is used in photoelectric cells, as a catalyst for hydrogenation of some organic compounds, in medical applications, and in industrial research. Hydrogenation is an addition reaction. Hydrogenation is a chemical reaction between molecular hydrogen (h2) and another compound or element, usually in the presence of a catalyst such as nickel, palladium or platinum. Hydrogenation is not thermodynamically favorable at ordinary temperatures, so a catalyst is needed.
What Is Hydro Generation What Is Its Industrial Application Brainly In from hi-static.z-dn.net Asymmetric hydrogenation can basically be classified into two categories, homogeneous and heterogeneous hydrogenation. Hydrogenation is the process of addition of hydrogen. Hydrogenation is a chemical reaction between molecular hydrogen (h2) and another compound or element, usually in the presence of a catalyst such as nickel, palladium or platinum. Help the community by sharing what you know. Usually this catalyst is a metal. Make industrial ports the nerve centres for scaling up the use of clean hydrogen. What is the effect of sodium borohydride on gold nanoparticles supported catalyst being used for hydrogenation reaction? Hydrogenation is used for preparing vegetable ghee (vanaspati) from vegetable oils, which have long unsaturated carbon chains.
What is industrial application of energy?
Hyderogenation is an addition reaction in which hydrogen bonds are added to unsaturated compounds. Hydrogenation is the chemical reaction between hydrogen and other compounds in the presence of catalyst. This has drastically reduced the application of partial hydrogenation as a method of producing solid fats. Vegetable oil have long unsaturated carbon chains, which are converted into vegetable ghee i.e., saturated fatty acids. Hydrogenation is a chemical reaction that adds hydrogen to a molecule. Dehydrogenation is a chemical reaction that involves the removal of hydrogen from an. Haber proccess is an example. Hydrogenation is a chemical reaction between molecular hydrogen (h2) and another compound or element, usually in the presence of a catalyst such as nickel, palladium or platinum. What change will you observe if you test soap with litmus paper (red and blue)? Hydrogenation is used in many industrial applications. Hydrogenation is nothing but an addition of hydrogen to an unsaturated hydrocarbon to make it a saturated hydrocarbon on the presence of a catalyst. Hydrogenation is used mainly to reduce sturated hydrocarbonds. Make industrial ports the nerve centres for scaling up the use of clean hydrogen.
0 Komentar